Η δημοσιογράφος Gili Cohen, του δημόσιου ραδιοτηλεοπτικού φορέα ΚΑΝΝ, αποκάλυψε το βράδυ της Πέμπτης ο έγγραφο της συμφωνίας που υπογράφηκε στην Αίγυπτο από το Ισραήλ, τη Χαμάς και τους μεσολαβητές, με τίτλο «Ολοκληρωμένος Τερματισμός του Πολέμου της Γάζας», για την απελευθέρωση των ομήρων και τον τερματισμό του πολέμου στη Γάζα.
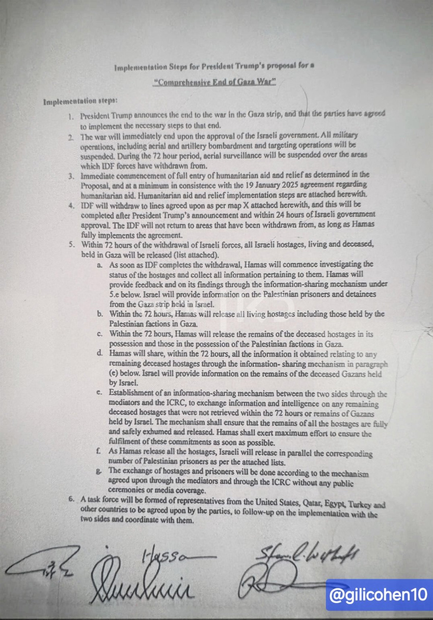
SCOOP: this is the agreement document between Israel and Hamas under the title “Comprehensive End to the Gaza War” – including the signature of the mediators. More details of my story – at @kann_news pic.twitter.com/1qGPGFck7q
— Gili Cohen (@gilicohen10) October 9, 2025
Σύμφωνα με την εφημερίδα Times of Israel, το έγγραφο έχει τίτλο «Βήματα εφαρμογής του σχεδίου του προέδρου Τραμπ» για ένα «ολοκληρωτικό τέλος του πολέμου στη Γάζα», περιγράφει λεπτομερώς τα στάδια της συμφωνίας, ξεκινώντας με πρώτο την ανακοίνωση του Αμερικανού ηγέτη για «το τέλος του πολέμου στη Λωρίδα της Γάζας και ότι τα μέρη έχουν συμφωνήσει να εφαρμόσουν τα απαραίτητα μέτρα για τον σκοπό αυτό».
Το δεύτερο βήμα ορίζει ότι «ο πόλεμος θα τερματιστεί αμέσως μετά την έγκριση της ισραηλινής κυβέρνησης», η οποία συνεδριάζει επί του παρόντος για να ψηφίσει τη συμφωνία, «με όλες τις στρατιωτικές επιχειρήσεις να σταματούν, συμπεριλαμβανομένων συμπεριλαμβανομένων των αεροπορικών βομβαρδισμών και των βομβαρδισμών του πυροβολικού».
«Κατά τη διάρκεια της περιόδου των 72 ωρών, η αεροπορική επιτήρηση θα ανασταλεί πάνω από τις περιοχές από τις οποίες έχουν αποσυρθεί οι δυνάμεις των Ισραηλινών Ενόπλων Δυνάμεων (IDF)», προσθέτει το δεύτερο βήμα.
Το τρίτο βήμα απαιτεί την «άμεση έναρξη της πλήρους εισόδου ανθρωπιστικής βοήθειας και ανακούφισης» στη Λωρίδα της Γάζας, ενώ το τέταρτο αναφέρει ότι «ο IDF θα αποσυρθούν στις γραμμές που έχουν συμφωνηθεί σύμφωνα με τον χάρτη που επισυνάπτεται στο παρόν, και αυτό θα ολοκληρωθεί μετά την ανακοίνωση του προέδρου Τραμπ και εντός 24 ωρών από την έγκριση της ισραηλινής κυβέρνησης».
«Ο IDF δεν θα επιστρέψουν στις περιοχές από τις οποίες έχει αποσυρθεί, εφόσον η Χαμάς εφαρμόσει πλήρως τη συμφωνία», προσθέτει.

Παρόλο που αναφέρεται ότι όλοι οι όμηροι, ζωντανοί και νεκροί θα απελευθερωθούν κατά τη διάρκεια αυτού του 72ωρου διαστήματος, μία από τις υποπαραγράφους του πέμπτου βήματος απαιτεί «τη δημιουργία ενός μηχανισμού ανταλλαγής πληροφοριών… σχετικά με τυχόν νεκρούς ομήρους που δεν ανακτήθηκαν εντός των 72 ωρών ή τα λείψανα των κατοίκων της Γάζας που κρατούνται από το Ισραήλ».
«Ο μηχανισμός θα διασφαλίσει την πλήρη και ασφαλή εκταφή και απελευθέρωση των λειψάνων όλων των ομήρων. Η Χαμάς θα καταβάλει κάθε δυνατή προσπάθεια για να διασφαλίσει την εκπλήρωση αυτών των δεσμεύσεων το συντομότερο δυνατό», προσθέτει.
Η επόμενη υποπαράγραφος ορίζει ότι «καθώς η Χαμάς απελευθερώνει όλους τους ομήρους, το Ισραήλ θα απελευθερώσει παράλληλα τον αντίστοιχο αριθμό Παλαιστινίων κρατουμένων σύμφωνα με τους συνημμένους καταλόγους», ακολουθούμενη από μια άλλη υποπαράγραφο που δηλώνει ότι «η ανταλλαγή ομήρων και κρατουμένων θα γίνει σύμφωνα με τον μηχανισμό που συμφωνήθηκε μέσω των μεσολαβητών και μέσω της ΔΕΕΣ χωρίς δημόσιες τελετές ή κάλυψη από τα μέσα ενημέρωσης».
Το τελευταίο βήμα που αναφέρεται είναι ότι «θα συσταθεί μια ειδική ομάδα από εκπροσώπους των Ηνωμένων Πολιτειών, του Κατάρ, της Αιγύπτου, της Τουρκίας και άλλων χωρών που θα συμφωνηθούν από τα μέρη, για να παρακολουθεί την εφαρμογή της συμφωνίας από τις δύο πλευρές και να συντονίζεται μαζί τους».